Liouville Type Theorems for a Class of General Parabolic Hessian Quotient Type Equations

Author(s)

,
&

Abstract

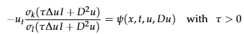
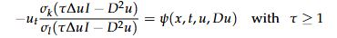
We first consider the a priori estimates to a class of general parabolic $(k,l)-$ Hessian quotient type equations of the form

with $0{\le}1

or

has interior gradient estimates and Pogorelov type estimates. As an application, we prove Liouville type theorems for these equations.

About this article

Abstract View

  • 16708

Pdf View

  • 420

DOI

10.4208/ata.OA-2025-0006

How to Cite

Liouville Type Theorems for a Class of General Parabolic Hessian Quotient Type Equations. (2025). Analysis in Theory and Applications, 41(3), 238-258. https://doi.org/10.4208/ata.OA-2025-0006